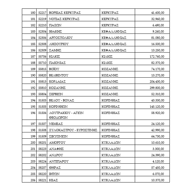
Με 28 εκατ. ευρώ ενισχύει το υπουργείο Εσωτερικών τους δήμους όλης της χώρας για την κάλυψη των λειτουργικών αναγκών των σχολείων πρωτοβάθμιας και δευτεροβάθμιας εκπαίδευσης αρμοδιότητας τους.
Συγκεκριμένα τα χρήματα κατανέμονται με απόφαση του υπουργού Εσωτερικών Τάκη Θεοδωρικάκου από τους Κεντρικούς Αυτοτελείς Πόρους στους 332 δήμους της χώρας ως εξής:





